
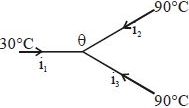
$\mathrm{i}_{1}+\mathrm{i}_{2}+\mathrm{i}_{3}=0$
$\Rightarrow \frac{30-\theta}{R}+\frac{90-\theta}{R}+\frac{90-\theta}{R}=0$
$30-\theta+180-2 \theta=0 \Rightarrow 210=3 \theta \Rightarrow \theta=70^{\circ} \mathrm{C}$

where $\sigma$ is the Stefan's constant.
