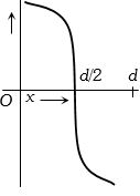
Two parallel beams of protons and electrons, carrying equal currents are fixed at a separation $d$. The protons and electrons move in opposite directions. $P$ is a point on a line joining the beams, at a distance $x$ from any one beam. The magnetic field at $P$ is $B$. If $B$ is plotted against $x$, which of the following best represents the resulting curve
  • A

  • B

  • C

  • D

Diffcult
art

Download our app
and get started for free

Experience the future of education. Simply download our apps or reach out to us for more information. Let's shape the future of learning together!No signup needed.*

Similar Questions

  • 1
    The ratio of the magnetic field at the centre of a current carrying coil of the radius $a$ and at a distance ‘$a$’ from centre of the coil and perpendicular to the axis of coil is
    View Solution
  • 2
    The current is flowing in south direction along a power line. The direction of magnetic field above the power line (neglecting earth's field) is
    View Solution
  • 3
    Assertion : The magnetic field at the centre of the circular coil in the following figure due to the currents $I_1$ and $I_2$ is zero.

    Reason : $I_1 = I_2$ implies that the fields due to the current $I_1$ and $I_2$ will be balanced.

    View Solution
  • 4
    The magnetic force acting on a charged particle of charge $-2\, \mu  C$ in a magnetic field of $2\, T$ acting in $y$ direction, when the particle velocity is $(2i + 3 j) \times  10^6\,\, m/s$ is
    View Solution
  • 5
    The ratio of the magnetic field at the cpentre of a current carrying circular wire and the magnetic field at the centre of a square coil made from the same length of wire will be
    View Solution
  • 6
    A galvanometer of resistance $100\,\Omega $ has $50\, divisions$ on its scale and has sensitivity of $20\,\mu A / division$. It is to be converted to a voltmeter with three ranges, of $0-2\, V$, $0-10\, V$ and $0-20\, V$. The appropriate circuit to do so is
    View Solution
  • 7
    A $50\, ohm$ galvanometer gets full scale deflection when a current of $0.01\, A$ passes through the coil. When it is converted to a $10\, A$ ammeter, the shunt resistance is ........... $\Omega $
    View Solution
  • 8
    In the following hexagons, made up of two different material $P$ and $Q,$ current enters and leaves from points $X$ and $Y$ respectively. In which case the magnetic field at its centre is not zero.
    View Solution
  • 9
    The resistance of a galvanometer is $90\, ohms$. If only $10$ percent of the main current may flow through the galvanometer, in which way and of what value, a resistor is to be used
    View Solution
  • 10
    A circuit contains an ammeter, a battery of $30\,V$ and a resistance $40.8\, ohm$ all connected in series. If the ammeter has a coil of resistance $480\,ohm$ and a shunt of $20\,ohm$, the reading in the ammeter will be .................. $A$
    View Solution