A very long conducting wire is bent in a semicircular shape from $A$ to $B$ as shown in figure. The magnetic field at point $P$ for steady current configuration is given by:
  • A$\frac{\mu_0 i }{4 R }\left[1-\frac{2}{\pi}\right]$ pointed into the page
  • B$\frac{\mu_0 i }{4 R }$ pointed into the page
  • C$\frac{\mu_0 i }{4 R }$ pointed away from the page
  • D$\frac{\mu_0 i }{4 R }\left[1-\frac{2}{\pi}\right]$ pointed away from page
NEET 2023, Medium
art

Download our app
and get started for free

Experience the future of education. Simply download our apps or reach out to us for more information. Let's shape the future of learning together!No signup needed.*

Similar Questions

  • 1
    When a certain length of wire is turned into one circular loop, the magnetic induction at the centre of coil due to some current flowing is ${B_1}$ If the same wire is turned into three loops to make a circular coil, the magnetic induction at the center of this coil for the same current will be
    View Solution
  • 2
    Five very long, straight wires are bound together to form a small cable. Currents carried by the wires are ${I_1} = 20\,A,$ ${I_2} = - \,6\,A,$ ${I_3} = 12\,A,\,{I_4} = - 7\,A,\,{I_5} = 18\,A.$ The magnetic induction at a distance of $10\, cm$ from the cable is
    View Solution
  • 3
    A circular conducting loop of radius $R$ carries a current $I.$ Another straight infinite conductor carrying current $I$ passes through the diameter of this loop as shown in the figure. The magnitude of force exerted by the straight conductor on the loop is
    View Solution
  • 4
    A wire carrying current $i$ is shaped as shown. Section $AB$ is a quarter circle of radius $r$. The magnetic field is directed
    View Solution
  • 5
    An electron is moving on a circular path of radius $r$ with speed $v$ in a transverse magnetic field $B$. $e/m$ for it will be
    View Solution
  • 6
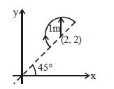
    A uniform magnetic field $\vec B = \left( {3\hat i + 4\hat j + \hat k} \right)$ exists in region of space. A semicircular wire of radius $1\,m$ carrying current $1\,A$ having its centre at $(2, 2, 0)$ is placed in $x-y$ plane as shown in figure. The force on semicircular wire will be
    View Solution
  • 7
    A circular coil of $30$ turns and radius $8.0\, cm$ carrying a current of $6.0\, A$ is suspended vertically in a uniform horizontal magnetic field of magnitude $1.0\, T$. The field lines make an angle of $60^o$ with the normal of the coil. Calculate the magnitude of the counter torque that must be applied to prevent the coil from turning.....$Nm$
    View Solution
  • 8
    An electron is moving along $+x$ direction. To get it moving along an anticlockwise circular path in $x-y$ plane, magnetic field applied along
    View Solution
  • 9
    An iron rod of length $L$ and magnetic moment $M$ is bent in the form of a semicircle. Now its magnetic moment will be
    View Solution
  • 10
    A wire bent in the shape of a regular $n$-polygonal loop carries a steady current $I$. Let $l$ be the perpendicular distance of a given segment and $R$ be the distance of a vertex both from the centre of the loop. The magnitude of the magnetic field at the centre of the loop is given by
    View Solution