$Assertion :$ In simple harmonic motion, the motion is to and fro and periodic
$Reason :$ Velocity of the particle $(v) = \omega \sqrt {k^2 - x^2}$ (where $x$ is the displacement).
AIIMS 2002, Medium
Download our app for free and get startedPlay store
SHM is to and fro motion of an object and it is periodic. $v = \omega \sqrt {k^2 - x^2}$ If $x = 0, v$ has maximum value. At $x = k, v$ has minimum velocity. Similarly, when $x = -k, v$ has zero value, all these indicate to and fro movement.
art

Download our app
and get started for free

Experience the future of education. Simply download our apps or reach out to us for more information. Let's shape the future of learning together!No signup needed.*

Similar Questions

  • 1
    For a particle showing motion under the force $F=-5(x-2)^2$, the motion is .......
    View Solution
  • 2
    A particle is executing $SHM$ along a straight line. Its velocities at distance $x_1$ and $x_2$ from the mean position are $V_1$ and $V_2$ respectively. Its time period is
    View Solution
  • 3
    A mass $0.9\,kg$, attached to a horizontal spring, executes $SHM$ with an amplitude $A _{1}$. When this mass passes through its mean position, then a smaller mass of $124\,g$ is placed over it and both masses move together with amplitude $A _{2}$. If the ratio $\frac{ A _{1}}{ A _{2}}$ is $\frac{\alpha}{\alpha-1}$, then the value of $\alpha$ will be$......$
    View Solution
  • 4
    The total energy of a particle executing S.H.M. is proportional to
    View Solution
  • 5
    The $ P.E.$ of a particle executing $SHM$ at a distance $x$ from its equilibrium position is
    View Solution
  • 6
    Two light identical springs of spring constant $k$ are attached horizontally at the two ends of a uniform horizontal rod $AB$ of length $l$ and mass $m$. the rod is pivoted at its centre $‘O’$ and can rotate freely in horizontal plane. The other ends of the two springs are fixed to rigid supports as shown in figure. The rod is gently pushed through a small angle and released. The frequency of resulting oscillation is
    View Solution
  • 7
    The length of a seconds pendulum at a height $h=2 R$ from earth surface will be.(Given: $R =$ Radius of earth and acceleration due to gravity at the surface of earth $g =\pi^{2}\,m / s ^{-2}$ )
    View Solution
  • 8
    In figure $(A),$ mass ' $2 m$ ' is fixed on mass ' $m$ ' which is attached to two springs of spring constant $k$. In figure $(B),$ mass ' $m$ ' is attached to two spring of spring constant ' $k$ ' and ' $2 k$ '. If mass ' $m$ ' in $(A)$ and $(B)$ are displaced by distance ' $x$ ' horizontally and then released, then time period $T_{1}$ and $T_{2}$ corresponding to $(A)$ and $(B)$ respectively follow the relation.
    View Solution
  • 9
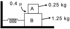
    Maximum amplitude(in $cm$) of $SHM$ so block A will not slip on block $B , K =100 N / m$
    View Solution
  • 10
    An oscillator of mass $M$  is at rest in its equilibrium position in a potential $V\, = \,\frac{1}{2}\,k{(x - X)^2}.$ A particle of mass $m$  comes from right with speed $u$  and collides completely inelastically with $M$ and sticks to it . This process repeats every time the oscillator crosses its equilibrium position .The amplitude of oscillations after $13$  collisions is: $(M = 10,\, m = 5,\, u = 1,\, k = 1 ).$ 
    View Solution