Features
Discover
How it works
Resources
Question Answer
Download App
Home
Questions
NEET
SECTION - A [CHEMISTY - MCQ]
ગુજરાતી માધ્યમ
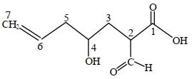
નીચે આપેલા સંયોજન નું સાચું નામકરણ શોધો :
A
$2-$ કાર્બોક્સિ $-4-$ હાઈડ્રોક્સીહેપ્ટ $-6-$ ઈનાલ
B
$2-$ કાર્બોક્સિ $-4-$ હાઈડ્રોક્સીહેપ્ટ $-7-$ ઈનાલ
C
$2-$ ફોર્માઈલ $-4-$ હાઈડ્રોક્સીહેપ્ટ $-6-$ ઈનોઈક એસિડ
D
$2-$ ફોર્માઈલ $-4-$ હાઈડ્રોક્સીહેપ્ટ $-7-$ ઈનોઈક એસિડ
JEE MAIN 2024, Medium
Download our app for free and get started
Solution
d
\(2\)-formly-\(4\)-hydroxyhept-\(6\)-enoic acid
ધોરણ 12 સાયન્સ
NEET
STD 11 - 8.1. Organic chemistry Nomenclature of organic compounds
CHEMISTRY
Share
0
Download our app
and get started for free
Experience the future of education. Simply download our apps or reach out to us for more information. Let's shape the future of learning together!
No signup needed.*
Download App
Similar Questions
1
સંયોજનનું $IUPAC$ નામ જણાવો.
View Solution
2
$\begin{matrix}
C{{H}_{3}}-CO-CH-C{{H}_{2}}-C{{H}_{2}}Cl \\
|\,\,\,\,\,\,\,\,\,\,\,\, \\
C{{H}_{3}}\,\,\,\,\,\,\, \\
\end{matrix}$ નું $I UPAC$ નામ શું હશે ?
View Solution
3
$\begin{matrix}
Me\,\,\,\,O\,\,\, \\
|\,\,\,\,\,\,\,\,\,||\,\, \\
C{{H}_{2}}=C-C-O{{C}_{2}}{{H}_{5}} \\
\end{matrix}$ નું $IUPAC$ નામ શું હશે ?
View Solution
4
$C{H_3}COCH{(C{H_3})_2}$નું $IUPAC$ નામ શું છે?
View Solution
5
$4 -$ મિથાઈલપેન્ટ $2 -$ ઈનાલનું બંધારણ શોધો.
View Solution
6
નીચેના પદાર્થનું સાચું $IUPAC$ નામ કયું છે ?
View Solution
7
ક્યા સંયોજનમાં એક આઇસોપ્રોપાઇલ સમૂહ છે?
View Solution
8
નીચેના પદાર્થનું $IUPAC$ નામ જણાવો.
View Solution
9
નીચે આપેલ સંયોજનનું નામ શું છે?
View Solution
10
$\begin{array}{*{20}{c}}
{C{H_3} - C{H_2} - CH - C{H_2} - COCl} \\
{|\,\,\,\,\,\,\,\,} \\
{C{H_3}}\,\,\,
\end{array}$ : આ પદાર્થનું $IUPAC$ નામ શું છે ?
View Solution