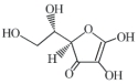
નીચે બધા જ વિટામીન $C$ ના બંધારણો આપેલા છે. તેમાંથી સૌથી સ્થાયી બંધારણ શોધો.
  • A

  • B

  • C

  • D

JEE MAIN 2023, Diffcult
Download our app for free and get startedPlay store
a
\(H-\)bonding stabilised vitamin \(C\)
art

Download our app
and get started for free

Experience the future of education. Simply download our apps or reach out to us for more information. Let's shape the future of learning together!No signup needed.*

Similar Questions

  • 1
    જ્યારે મંદ $H_2SO_4$ ની શર્કરા સાથે પ્રક્રિયા થાય ત્યારે શુ થાય છે?
    View Solution
  • 2
    ગ્લુકોઝ $\xrightarrow{{B{r_2}/{H_2}O}}$ પ્રક્રિયામાં મળતી નીપજ જણાવો.
    View Solution
  • 3
    પેપ્ટાઇડ જે ઘન  સિરિક એમોનિયમ નાઇટ્રેટ અને કાર્બીલેમાઇન કસોટી આપે છે તે કઈ છે ?
    View Solution
  • 4
    કયો બેઇઝ $RNA$  માં હાજર હોય પણ $DNA$  માં હોતો નથી?
    View Solution
  • 5
    નીચેનામાંથી કયુ ડાયસેકેરાઇડ એ નોન રીડ્યુસિંગશર્કરા.....
    View Solution
  • 6
    નીચેના પૈકી કયું સંયોજન ઝ્વીટર આયન તરીકે અસ્તિત્વ ધરાવતું નથી?
    View Solution
  • 7
    ગ્લાયકોપ્રોટીનમાં ક્યો પ્રોસ્થેટિક સમૂહ હાજર હોય છે?
    View Solution
  • 8
    એમિનો એસિડના સમવિભવ બિંદુ અને દ્રાવ્યતા વચ્ચેનો સંબંધ જણાવો.
    View Solution
  • 9
    નીચેનામાંથી કયો મોનોસેકેરાઈડ પેન્ટોઝ છે ?
    View Solution
  • 10
    હાઇડ્રોકસી સમુહની હાજરી અથવા ગેરહાજરી કે જેના પર $RNA $ અને $DNA$  કયા કાર્બન પરમાણુ પર અને ના જુદી જુદી શર્કરા ધરાવે છે.
    View Solution