Using Kirchhoff’s rules, calculate the current through the $40\Omega$ and $20\Omega$ resistors in the following circuit:
CBSE 55-1-2 PAPER SET 2019
Download our app for free and get startedPlay store
Apply $\ce{KVL}$ through $\text{ABCDA}$:
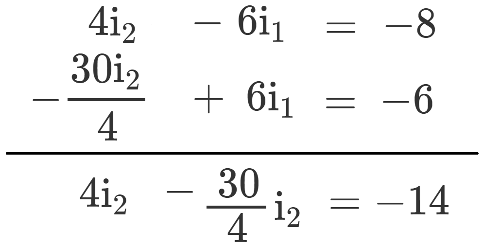
$80 - 20i_1 - 40(i_1 - i_2) = 0 80 - 60i_1 + 40i_2 = 0$ equation $(1)$ Apply $\text{KVL}$ through $\text{FEDCF}: 40 + 40(i_1 - i_2) - 10i_2 = 0 40 + 40i_1 - 50i_2 = 0$ equation $= 0 4i_2 - 6i_1 = -8$ equation $(1) -5i_2 + 4i_1 = -4$ equation $(2)$ Multiplying equation $(2)$ by $\frac{6}{4}$ and add with equation $(1)$
$\frac{-14}{4}\text{i}_2=-14,\text{i}_2=\frac{-14}{7}\times2$
$\text{i}_2=4\text{A}$ Put the value of $i_2$ in equation $(1) 4 \times (4) - 6i_1 = -8 16 - 6i_1 = -8 6i_1 = 16 + 8 = 24 i_1 = 4A$
​​​​​​​So, current through $40\Omega$ resistor $= i_1 - i_2 = 4 - 4 = 0A$ Current through $20\Omega$ resistor $= 4A$
art

Download our app
and get started for free

Experience the future of education. Simply download our apps or reach out to us for more information. Let's shape the future of learning together!No signup needed.*

Similar Questions

  • 1
    A potentiometer wire of length 1.0 m has a resistance of l5 $\Omega$. It is connected to a 5 V battery in series with a resistance of 5 $\Omega$ Determine the emf of the primary cell which gives a balance point at 60 cm.
    View Solution
  • 2
    Find the equivalent resistances of the networks shown in the figure. between the points a and b.
    1.  
    1.  
    1.  
    1.  
    1.  
    View Solution
  • 3
    An electric bulb, when connected across a power supply of 220V, consumes a power of 60W. If the supply drops to 180V, what will be the power consumed? If the supply is suddenly increased to 240V, what will be the power consumed?
    View Solution
  • 4
    How many time constants will elapse before the current in a charging RC circuit drops to half of its initial value? Answer the same question for a discharging RC circuit.
    View Solution
  • 5
    Calculate the current drawn from the battery in the given network shown here. State Kirchhoff’s loop law and name the law on which it is based.
    View Solution
  • 6
    A cell of emf E and internal resistance r is connected across an external resistance R. Plot a graph showing the variation of P.D. across R, verses R.
    View Solution
  • 7
    A heating element using nichrome connected to a $230 V$ supply draws an initial current of $ 3.2 A$ which settles after a few seconds to a steady value of $2.8 A$. What is the steady temperature of the heating element if the room temperature is $27.0^\circ C?$ Temperature coefficient of resistance of nichrome averaged over the temperature range involved is $1.70\times10^{-4}{^\circ\text{C}}^{-1}.$
    View Solution
  • 8
    1. Two cells of emf $E_1$ and $E_2$ have their internal resistances $r_1$ and $r_2$, respectively. Deduce an expression for the equivalent emf and internal resistance of their parallel combination when connected across an external resistance $R.$ Assume that the two cells are supporting each other.
    2. In case the two cells are identical, each of emf $E = 5V$ and internal resistance $\text{r}=2\Omega,$ calculate the voltage across the external resistance $\text{R}=10\Omega.$
    View Solution
  • 9
    A heater coil is cut in two parts and only one of them is used in the heater. What is the ratio of the heat produced by this half coil to that by the original coil if the voltage applied is the same?
    View Solution
  • 10
    Calculate the temperature at which the resistance of a conductor becomes 20% more than its resistance at 27°C. The value of the temperature coefficient of resistance of the conductor is $2.0 \times 10\frac{-4}{\text{K}}.$
    View Solution