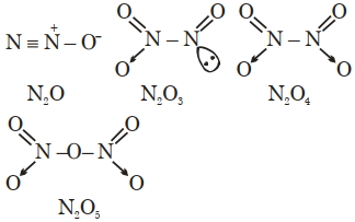
આપેલા નાઈટ્રોજનના ઓક્સાઈડો પૈકી :
$N _{2} O , N _{2} O _{3}, N _{2} O _{4}$ અને $N _{2} O _{5}, N - N$ બંધ ધરાવતા સંયોજન(નો) ની સંખ્યા શોધો.
  • A$1$
  • B$2$
  • C$3$
  • D$4$
JEE MAIN 2022, Medium
Download our app for free and get startedPlay store
c

art

Download our app
and get started for free

Experience the future of education. Simply download our apps or reach out to us for more information. Let's shape the future of learning together!No signup needed.*

Similar Questions

  • 1
    ઉમદા વાયુઓ બીજા તત્વો સાથે પ્રકિયા કરતા નથી કારણ કે.......
    View Solution
  • 2
    નીચેનામાંથી સૌથી પ્રબળ ઓક્સિડેશન કર્તા કયુ સંયોજન છે?
    View Solution
  • 3
    નાઇટ્રોજન ડાયોક્સાઇડ ..............
    View Solution
  • 4
    સાંદ્ર હાઈડ્રોક્લોરિક એસિડને હવામાં ખૂલ્લો રાખતા કેટલીક વખત સફેદ રંગના ધુમાડાનું વરાળ બનાવે છે. આને માટે શું સમજુતી આપી શકાય?
    View Solution
  • 5
    $AgNO_3$ ને ખૂબ ગરમ કરતા કઇ નીપજો મળે છે?
    View Solution
  • 6
    નીચેનામાંથી ક્યુ તેની બાજુમાં દર્શાવેલા ગુણ સાથે સુસંગત નથી ?
    View Solution
  • 7
    ગ્લાસ અથવા ક્વાર્ટઝના  વાસણમાં $XeF_6$ સંગ્રહ  ન કરવા માટેનું કારણ કયું છે
    View Solution
  • 8
    નીચેનામાંથી ક્યો અણુ ઘન અવસ્થામાં વલયાકાર ટ્રાયમર સ્વરૂપે અસ્તીત્વ ધરાવે છે?
    View Solution
  • 9
    નીચેનામાંથી કયો  પરમાણુ લુઇસ એસિડિટી બતાવી શકે છે?
    $(I)$ $CO_2$    $(II)$ $Br_2$    $(III)$ $SnCl_2$    $(IV)$ $HF$    $(V)$ $NMe_3$
    View Solution
  • 10
    નીચેનામાંથી કયો ક્રમ આપેલા એસિડમાંથી ચઢતા ક્રમમાં શક્તિ સાચી રીતે દર્શાવે છે?
    View Solution