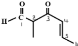
નીચે આપેલા સંયોજનનું $IUPAC$ નામ જણાવો.
  • A$5-$ફોર્મિલહેકઝ$-{2-}3-$ઓન
  • B$5-$મિથાઇલ${-4}-$ઓકસોહેઝ $-{2-}5- $ આલ
  • C${3-}$કિટો$-{2-}$મિથાઇલહેકઝ${-5}-$ઇનાલ
  • D${3-}$કિટો$-{2-}$મિથાઇલહેકઝ${-4}-$ઇનાલ
NEET 2017, Diffcult
Download our app for free and get startedPlay store
d
The IUPAC name of this compound is \(3\)-keto-\(2\)-methylhex-\(4\)-enal
art

Download our app
and get started for free

Experience the future of education. Simply download our apps or reach out to us for more information. Let's shape the future of learning together!No signup needed.*

Similar Questions

  • 1
    $\mathrm{HOCH}(\mathrm{CN})_2$ નું બંધ લાઈન (ડેશ) સૂત્ર શોધો.
    View Solution
  • 2
    નીચેનામાંથી શેમા સમાંગ શ્રેણીના સભ્યો નથી ?
    View Solution
  • 3
    $\begin{matrix}
       O\,\,\,\,\,\,\,\,\,\,\,\,\,\,\,\,\,\,\,\,\,\,\,\,\,\,\,\,\,\,  \\
       ||\,\,\,\,\,\,\,\,\,\,\,\,\,\,\,\,\,\,\,\,\,\,\,\,\,\,\,\,\,\,  \\
       C{{H}_{3}}-C-CH-CH-C{{H}_{3}}  \\
       \,\,\,\,\,\,|\,\,\,\,\,\,\,\,\,\,\,\,\,|  \\
       \,\,\,\,\,\,\,\,\,\,\,{{C}_{2}}{{H}_{5}}\,\,\,C{{H}_{3}}  \\
    \end{matrix}$ નું $IUPAC$  નામ શું હશે ?
    View Solution
  • 4
    $C{H_2} = CH - CH{(C{H_3})_2}$નું $IUPAC$ નામ શું છે?
    View Solution
  • 5
    સંયોજન નું નામ $IUPAC$ પ્રાણાલી પ્રમાણે શોધો.
    View Solution
  • 6
    નીચેના સંયોજનનું નામ જણાવો.
    View Solution
  • 7
    $CH_2=CH-CH_2-CH_2,-C \equiv CH$ સંયોજનમાં $C_2 -C_3$ બંધમાં નીચેના પૈકી સંકૃત કક્ષકોની કઈ જોડ સંકળાયેલી છે ?
    View Solution
  • 8
    નીચેનામાંથી કયા સંયોજનમાંથી તેની વર્તણૂકમાં ચક્રીય માનવામાં આવશે નહીં
    View Solution
  • 9
    પેન્ટt$-4-$ઇન, $1-$આઇનમાં $\sigma $ તથા $\pi $ બંધની સંખ્યા કેટલી છે?
    View Solution
  • 10
    સંયોજન નું નામ $IUPAC$ પ્રાણાલી પ્રમાણે શોધો.
    View Solution