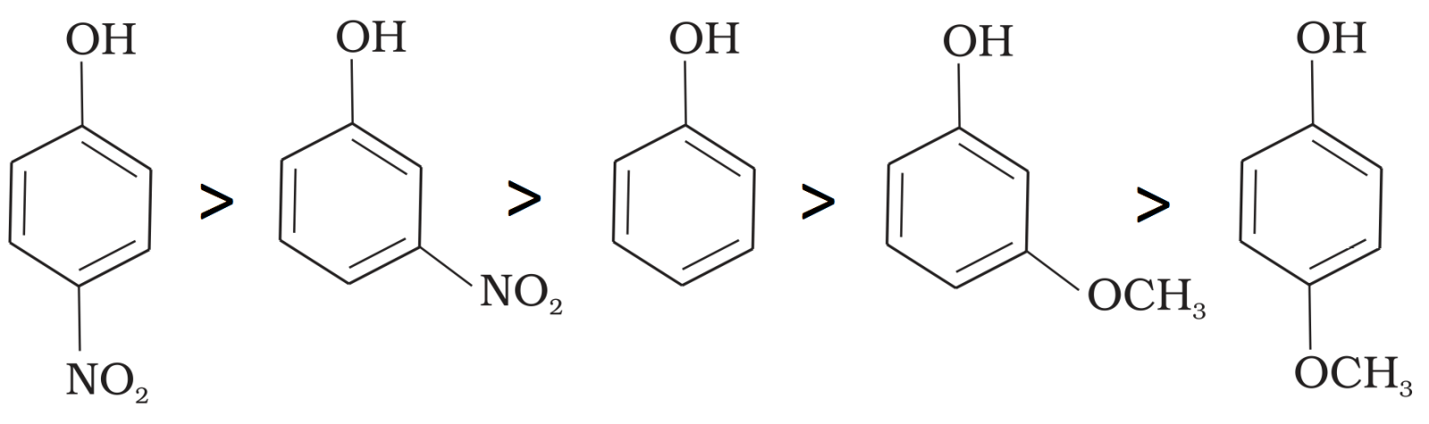
Mark the correct order of decreasing acid strength of the following compounds.
Download our app for free and get startedPlay store

$-NO_2$ is an electron withdrawing group which increases the acidity of phenol and the effect is more pronounced at ortho and para positions. Similarly methoxy group is an electron releasing group which decreases the acidity of phenol and the effect is more pronounced at ortho and para positions.
art

Download our app
and get started for free

Experience the future of education. Simply download our apps or reach out to us for more information. Let's shape the future of learning together!No signup needed.*

Similar Questions

  • 1
    Electrophilic substitution reaction in phenol takes place at:
    View Solution
  • 2
    IUPAC name of phenol is -
    View Solution
  • 3
    Unlike phenol, $2,4-$dinitrophenol is soluble in sodium carbonate solution in water because?
    View Solution
  • 4
    Which of the following can not be the product of this reaction? 
    View Solution
  • 5
    The IUPAC name of sec. butyl alcohol is:
    View Solution
  • 6
    Lower alcohols are highly soluble in water due to _____.
    View Solution
  • 7
    $\ce{CH_3CH_2OH}$ can be converted into $\ce{CH_3CHO}$ by $.........$
    View Solution
  • 8
    Ethers show dipolar nature due to the presence of ______.
    View Solution
  • 9
    Which of the following compounds is aromatic alcohol?
    View Solution
  • 10
    Glycol is a:
    View Solution