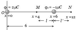
Point charge ${q_1} = 2\,\mu C$ and ${q_2} = - 1\,\mu C$ are kept at points $x = 0$ and $x = 6$ respectively. Electrical potential will be zero at points
Diffcult
Download our app for free and get startedPlay store
(c) Potential will be zero at two points
At internal point $(M)$ :$\frac{1}{{4\pi {\varepsilon _0}}} \times \left[ {\frac{{2 \times {{10}^{ - 6}}}}{{(6 - l)}} + \frac{{( - 1 \times {{10}^{ - 6}})}}{l}} \right] = 0$
$==>$ $l = 2$
So distance of $M$ from origin; $x = 6 -2 = 4$
At exterior point $(N)$ :$\frac{1}{{4\pi {\varepsilon _0}}}$ $×$ $\left[ {\frac{{2 \times {{10}^{ - 6}}}}{{6 - l'}} + \frac{{ - 1 \times {{10}^{ - 6}}}}{{l'}}} \right]  =0 $

$l'=6$

So distance of $N$ from origin, $x = 6 + 6 = 12$

art

Download our app
and get started for free

Experience the future of education. Simply download our apps or reach out to us for more information. Let's shape the future of learning together!No signup needed.*

Similar Questions

  • 1
    While working on a physics project at school physics lab, you require a $4 \,\mu F$ capacitor in a circuit across a potential difference of $1 \,kV$. Unfortunately, $4 \,\mu F$ capacitors are out of stock in your lab but $2 \,\mu F$ capacitors which can withstand a potential difference of $400 \,V$ are available in plenty. If you decide to use the $2 \,\mu F$ capacitors in place of $4 \,\mu F$ capacitor, minimum number of capacitors required are
    View Solution
  • 2
    As shown in the figure, charges $ + q$ and $ - q$ are placed at the vertices $B$ and $C$ of an isosceles triangle. The potential at the vertex $A$ is
    View Solution
  • 3
    As in figure shown, if a capacitor $C$ is charged by connecting it with resistance $R$, then energy is given by the battery will be
    View Solution
  • 4
    In the circuit shown, the energy stored in $1\,\mu F$ capacitor is.....$\mu J$
    View Solution
  • 5
    Two capacitors with capacitance values $C _1=2000 \pm 10 pF$ and $C_2=3000 \pm 15 pF$ are connected in series. The voltage applied across this combination is $V=5.00 \pm 0.02 V$. The percentage error in the calculation of the energy stored in this combination of capacitors is . . . . . .
    View Solution
  • 6
    A capacitor is charged by using a battery which is then disconnected. A dielectric slab is then slipped between the plates, which results in
    View Solution
  • 7
    For the situation shown in the figure below, mark out the correct statement
    View Solution
  • 8
    Five conducting parallel plates having area $A$ and separation between them $d$, are placed as shown in the figure. Plate number $2$ and $4$ are connected wire and between point $A$ and $B$, a cell of emf $E$ is connected. The charge flown through the cell is
    View Solution
  • 9
    A capacitor when filled with a dielectric $K = 3$ has charge ${Q_0}$, voltage ${V_0}$ and field ${E_0}$. If the dielectric is replaced with another one having $K = 9$ the new values of charge, voltage and field will be respectively
    View Solution
  • 10
    Consider the points lying on a straight line joining two fixed opposite charges. Between the charges there is
    View Solution