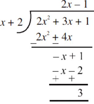
$2x^2 + 3x + 1$ को $x + 2$ से भाग दीजिए।
Example-6
Download our app for free and get startedPlay store
ध्यान दीजिए कि जब शेषफल या तो शून्य हो जाए या इसकी घात भाजक की घात से कम हो जाए, तो हम भाग देने की प्रक्रिया को रोक देते हैं। इसलिए यहाँ भागफल $2x - 1$ है तथा शेषफल $3$ है। इसके अतिरिक्त,
$(2x - 1)(x + 2) +3 = 2x^{2 }+ 3x - 2 + 3 = 2x^{2 }+ 3x + 1$
अर्थात्, $2x^{2 }+ 3x + 1 = (x + 2)(2x - 1) + 3$
अतः भाज्य $=$ भाजक $\times$ भागफल $+$ शेषफल
अब हम यह प्रक्रिया किसी बहुपद को एक द्विघात बहुपद से भाग देने के लिए विस्तृत करते हैं।
art

Download our app
and get started for free

Experience the future of education. Simply download our apps or reach out to us for more information. Let's shape the future of learning together!No signup needed.*

Similar Questions

  • 1
    एक द्विघात बहुपद ज्ञात कीजिए, जिसके शून्यकों का योग तथा गुणनफल क्रमशः $\frac{1}{4}$ और $-1$ हैं।
    View Solution
  • 2
    जाँच कीजिए कि त्रिघात बहुपद $p(x) = 3x^{3 }- 5x^{2 }- 11x - 3$ के शून्यक $3, -1$ और$-\frac{1}{3}$ हैं। इसके पश्चात् शून्यकों तथा गुणांकों के बीच के संबंध की सत्यता की जाँच कीजिए।
    View Solution
  • 3
    द्विघात बहुपद $x^{2 }- 2x - 8$ के शून्यक ज्ञात कीजिए और शून्यकों तथा गुणांकों के बीच के संबंध की सत्यता की जाँच कीजिए।
    View Solution
  • 4
    द्विघात बहुपद $t^2 - 15$ के शून्यक ज्ञात कीजिए और शून्यकों तथा गुणांकों के बीच के संबंध की सत्यता की जाँच कीजिए।
    View Solution
  • 5
    द्विघात बहुपद $4u^2 + 8u$ के शून्यक ज्ञात कीजिए और शून्यकों तथा गुणांकों के बीच के संबंध की सत्यता की जाँच कीजिए।
    View Solution
  • 6
    द्विघात बहुपद $4s^2 - 4s + 1$ के शून्यक ज्ञात कीजिए और शून्यकों तथा गुणांकों के बीच के संबंध की सत्यता की जाँच कीजिए।
    View Solution
  • 7
    द्विघात बहुपद $6x^2 - 3 - 7x$  के शून्यक ज्ञात कीजिए और शून्यकों तथा गुणांकों के बीच के संबंध की सत्यता की जाँच कीजिए।
    View Solution
  • 8
    $3x^3 + x^2 + 2x + 5$ को $x + 2x + x^2$ से भाग दीजिए।
    View Solution
  • 9
    द्विघात बहुपद $3x^2 - x - 4$ के शून्यक ज्ञात कीजिए और शून्यकों तथा गुणांकों के बीच के संबंध की सत्यता की जाँच कीजिए।
    View Solution
  • 10
    $3x^{2 }- x^{3 }- 3x + 5$ को $x - 1 - x^2$ से भाग दीजिए और विभाजन एल्गोरिथ्म की सत्यता की जाँच कीजिए।
    View Solution