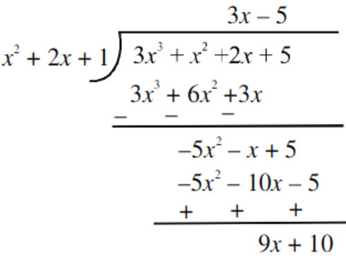
$3x^3 + x^2 + 2x + 5$ को $x + 2x + x^2$ से भाग दीजिए।
Example-7
Download our app for free and get startedPlay store
हम सर्वप्रथम भाजक एवं भाज्य के पदों को घटती हुई घातों के क्रम में व्यवस्थित करते हैं। याद कीजिए कि बहुपदों के पद इस प्रकार व्यवस्थित करने को बहुपद को मानक रूप में लिखना कहते हैं। इस उदाहरण में, भाज्य पहले से ही मानक रूप में है तथा मानक रूप में भाजक $x^{2 }+ 2x + 1$ है।

चरण $1:$ भागफल का पहला पद प्राप्त करने के लिए, उच्चतम घात वाले पद $($अर्थात् $3x^3)$ को भाजक के उच्चतम घात वाले पद (अर्थात् $x^2)$ से भाग दीजिए। यह $3x$ है। तब, भाग देने की प्रक्रिया कीजिए। जो शेष बचता है वह $-5x^{2 }- x + 5$ है।
चरण $2:$ अब भागफल का दूसरा पद ज्ञात करने के लिए, नए भाज्य के उच्चतम घात वाले पद $($अर्थात् $-5x^2)$ को भाजक के उच्चतम घात वाले पद $($अर्थात् $x^2)$ से भाग कीजिए। इससे $-5$ मिलता है। पुन: भाग देने की प्रक्रिया $-5x^{2 }- x + 5$ के साथ कीजिए।
चरण $3:$ अब शेष बचे $9x + 10$ की घात भाजक $x^{2 }+ 2x + 1$ की घात से कम है। इसलिए, हम भाग देने की क्रिया को और नहीं कर सकते हैं।
इसलिए, भागफल $3x - 5$ है तथा शेषफल $9x + 10$ है। इसके अतिरिक्त,
$(x^{2 }+ 2x + 1)\times (3x - 5) + (9x + 10) $
$= 3x^{3 }+ 6x^{2 }+ 3x - 5x^{2 }- 10x - 5 + 9x + 10$
$= 3x^{3 }+ x^{2 }+ 2x + 5$
art

Download our app
and get started for free

Experience the future of education. Simply download our apps or reach out to us for more information. Let's shape the future of learning together!No signup needed.*

Similar Questions

  • 1
    द्विघात बहुपद $4s^2 - 4s + 1$ के शून्यक ज्ञात कीजिए और शून्यकों तथा गुणांकों के बीच के संबंध की सत्यता की जाँच कीजिए।
    View Solution
  • 2
    $2x^{4 }- 3x^{3 }- 3x^{2 }+ 6x - 2$ के सभी शून्यक ज्ञात कीजिए, यदि आपको इसके दो शून्यक$\sqrt{2}$ और $-\sqrt{2}$ ज्ञात हैं।
    View Solution
  • 3
    एक द्विघात बहुपद ज्ञात कीजिए, जिसके शून्यकों का योग तथा गुणनफल क्रमशः$\sqrt{2}$ और $\frac{1}{3}$ हैं।
    View Solution
  • 4
    द्विघात बहुपद $6x^2 - 3 - 7x$  के शून्यक ज्ञात कीजिए और शून्यकों तथा गुणांकों के बीच के संबंध की सत्यता की जाँच कीजिए।
    View Solution
  • 5
    जाँच कीजिए कि त्रिघात बहुपद $p(x) = 3x^{3 }- 5x^{2 }- 11x - 3$ के शून्यक $3, -1$ और$-\frac{1}{3}$ हैं। इसके पश्चात् शून्यकों तथा गुणांकों के बीच के संबंध की सत्यता की जाँच कीजिए।
    View Solution
  • 6
    $3x^{2 }- x^{3 }- 3x + 5$ को $x - 1 - x^2$ से भाग दीजिए और विभाजन एल्गोरिथ्म की सत्यता की जाँच कीजिए।
    View Solution
  • 7
    $2x^2 + 3x + 1$ को $x + 2$ से भाग दीजिए।
    View Solution
  • 8
    द्विघात बहुपद $x^{2 }- 2x - 8$ के शून्यक ज्ञात कीजिए और शून्यकों तथा गुणांकों के बीच के संबंध की सत्यता की जाँच कीजिए।
    View Solution
  • 9
    द्विघात बहुपद $3x^2 - x - 4$ के शून्यक ज्ञात कीजिए और शून्यकों तथा गुणांकों के बीच के संबंध की सत्यता की जाँच कीजिए।
    View Solution
  • 10
    द्विघात बहुपद $t^2 - 15$ के शून्यक ज्ञात कीजिए और शून्यकों तथा गुणांकों के बीच के संबंध की सत्यता की जाँच कीजिए।
    View Solution