$3x^{2 }- x^{3 }- 3x + 5$ को $x - 1 - x^2$ से भाग दीजिए और विभाजन एल्गोरिथ्म की सत्यता की जाँच कीजिए।
Example-8
Download our app for free and get startedPlay store
यूक्लिड की विभाजन प्रमेयिका का प्रयोग करने पर हम पाते हैं:
$g(x)\cdot(x - 2) + (-2x + 4)$
$= x^3 - 3x^2 + x + 2$
$\Rightarrow g(x) \cdot (x - 2) x^3 - 3x^2 + x + 2 + 2x - 4$
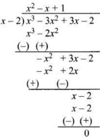
$x^{3 }- 3x^2 + 3x - 2$
$\Rightarrow g(x) = \frac{x^{3}-3 x^{2}+3 x-2}{x-2}$
इसलिए $g(x)$ का मान ज्ञात करने के लिए हम बहुपद $x^3 - 3x^2 + 3x - 2$ को व्यंजक $x - 2$ से विभाजित करेंगे

अतः $g(x)$ का अभीष्ट मान $x^2 - x + 1$ है।
art

Download our app
and get started for free

Experience the future of education. Simply download our apps or reach out to us for more information. Let's shape the future of learning together!No signup needed.*

Similar Questions

  • 1
    $2x^2 + 3x + 1$ को $x + 2$ से भाग दीजिए।
    View Solution
  • 2
    एक द्विघात बहुपद ज्ञात कीजिए, जिसके शून्यकों का योग तथा गुणनफल क्रमशः $\frac{1}{4}$ और $-1$ हैं।
    View Solution
  • 3
    जाँच कीजिए कि त्रिघात बहुपद $p(x) = 3x^{3 }- 5x^{2 }- 11x - 3$ के शून्यक $3, -1$ और$-\frac{1}{3}$ हैं। इसके पश्चात् शून्यकों तथा गुणांकों के बीच के संबंध की सत्यता की जाँच कीजिए।
    View Solution
  • 4
    द्विघात बहुपद $3x^2 - x - 4$ के शून्यक ज्ञात कीजिए और शून्यकों तथा गुणांकों के बीच के संबंध की सत्यता की जाँच कीजिए।
    View Solution
  • 5
    द्विघात बहुपद $4s^2 - 4s + 1$ के शून्यक ज्ञात कीजिए और शून्यकों तथा गुणांकों के बीच के संबंध की सत्यता की जाँच कीजिए।
    View Solution
  • 6
    द्विघात बहुपद $t^2 - 15$ के शून्यक ज्ञात कीजिए और शून्यकों तथा गुणांकों के बीच के संबंध की सत्यता की जाँच कीजिए।
    View Solution
  • 7
    $3x^3 + x^2 + 2x + 5$ को $x + 2x + x^2$ से भाग दीजिए।
    View Solution
  • 8
    एक द्विघात बहुपद ज्ञात कीजिए, जिसके शून्यकों का योग तथा गुणनफल क्रमशः$\sqrt{2}$ और $\frac{1}{3}$ हैं।
    View Solution
  • 9
    द्विघात बहुपद $x^{2 }- 2x - 8$ के शून्यक ज्ञात कीजिए और शून्यकों तथा गुणांकों के बीच के संबंध की सत्यता की जाँच कीजिए।
    View Solution
  • 10
    द्विघात बहुपद $4u^2 + 8u$ के शून्यक ज्ञात कीजिए और शून्यकों तथा गुणांकों के बीच के संबंध की सत्यता की जाँच कीजिए।
    View Solution