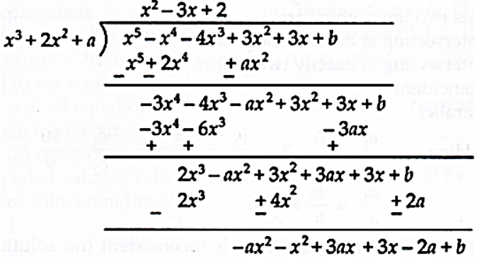
$a$ और $b$ के किन मानों के लिए, $q(x) = x^3 + 2x^2 + a$ के शून्यक बहुपद$ p(x) = x^5 - x^4 - 4x^3 + 3x^2 + 3x + b$ के भी शून्यक होंगे? $p(x)$ के कौन से शून्यक $q(x)$ के शून्यक नहीं हैं?
Exercise-2.4-6
Download our app for free and get startedPlay store
हम कारक प्रमेय और यूक्लिड विभाजन ल्गोरिथ्म का उपयोग करके $p(x)$ के शून्यक ज्ञात करेंगे जो $q(x)$ के शून्यक नहीं हैं।
गुणनखंड प्रमेय द्वारा यदि $q(x) p(x)$ का गुणनखंड है, तो $r(x)$ शून्य होना चाहिए।
$p(x) = x^5 - x^4 - 4x^3 + 3x^2 + 3x + b$
$q(x) = x^3 + 2x^2 + a$

अतः गुणनखंड प्रमेय के अनुसार शेषफल शून्य होना चाहिए अर्थात $r(x) = 0$
$r(x)$ का मान $- ax^2 - x^2 + 3ax + 3x - 2a + b$ है।
$- ax^2 - x^2 + 3ax + 3x - 2a + b = 0x^2 + 0x + 0$
$\Rightarrow -(a + 1)x^2 + (3a + 3)x + (b - 2a) = 0x^2 + 0x + 0$
$x^2, x$ और स्थिरांक के गुणांकों की तुलना करना। दोनों पक्षों पर, हम प्राप्त करते हैं
$- (a + 1) = 0$ और $3a + 3 = 0$ और $b - 2a = 0$
$a + 1 = 0$
$a = -1$ और $3a + 3 = 0$
$3a = - 3$
$a = -1$
$a = -1, b - 2a = 0$ में रकहने पर
$b - 2(-1) = 0$
$b + 2 = 0$
$b = -2$
$a = -1$ और $b = -2$ के लिए, $q(x)$ के शून्यक $p(x)$ के शून्यक होंगे।
$p(x)$ के शून्यकों के लिए, $p(x) = 0$
$(x^3 + 2x^2 + a) (x^2 - 3x + 2) = 0 [\because a = -1]$
$\Rightarrow[x^3 + 2x^2 - 1][x^2 - 2x - 1x + 2] = 0$
$(x^3 + 2x^2 - 1) [x (x - 2) - 1 (x - 2)] = 0$
$(x^3 + 2x^2 - 1) (x - 2) (x - 1) = 0$
$(x - 2) = 0$ और $(x - 1) = 0$
$x = 2$ और $x = 1$
हम पाते हैं कि $q(1) = 1 + 2 - 1 = 2 \ne 0$ और $q(2) = 8 + 8 - 1 = 15 \ne 0.$
तो, भागफल $x^2 - 3x + 2$ के शून्य, $q(x)$ के शून्य नहीं हैं, इसलिए, $x = 2$ और $1 q(x)$ के शून्यक नहीं हैं।
art

Download our app
and get started for free

Experience the future of education. Simply download our apps or reach out to us for more information. Let's shape the future of learning together!No signup needed.*

Similar Questions

  • 1
    क्या $x^6 + 2x^3 + x - 1$ को $x$ में घात $5$ के एक बहुपद से भाग देने पर भागफल $x^2 - 1$ हो सकता है औचित्य दीजिए।
    View Solution
  • 2
    वह द्विघात बहुपद ज्ञात कीजिए जिसके शून्यकों के योग और गुणनफल क्रमशः $\sqrt{2}$ तथा $-\frac{3}{2}$ हैं। इसके शून्यक भी ज्ञात कीजिए।
    View Solution
  • 3
    $\frac{-3}{2 \sqrt{5}},-\frac{1}{2}$ में बहुपद ज्ञात कीजिए, जिनके शून्यकों के क्रमशः योग और गुणनफल दिए हुए हैं। साथ ही, गुणनखंडन द्वारा, इन बहुपदों के शून्यक भी ज्ञात कीजिए।
    View Solution
  • 4
    $\frac{-8}{3}, \frac{4}{3}$ में बहुपद ज्ञात कीजिए, जिनके शून्यकों के क्रमशः योग और गुणनफल दिए हुए हैं। साथ ही, गुणनखंडन द्वारा, इन बहुपदों के शून्यक भी ज्ञात कीजिए।
    View Solution
  • 5
    क्या किसी विषम पूर्णांक $k > 1$ के लिए, द्विघात बहुपद $x^2 + kx + k$ के बराबर शून्यक हो सकते हैं?
    View Solution
  • 6
    $k$ का ऐसा मान ज्ञात कीजिए कि $x^2 + 2x + k$ बहुपद $2x^4 + x^3 - 14x^2 + 5x + 6$ का एक गुणनखंड हो जाए। इन दोनों बहुपदों के सभी शून्यक भी ज्ञात कीजिए।
    View Solution
  • 7
    यदि एक बहुपद का आलेख x-अक्ष को केवल एक ही बिंदु पर प्रतिच्छेद करे, तो यह एक द्विघात बहुपद नहीं हो सकता।
    View Solution
  • 8
    त्रिघात बहुपद $x^{3}-3 \sqrt{5} x^{2}+13 x-3 \sqrt{5}$ का एक गुणनखंड $x-\sqrt{5}$ दिया है। इस बहुपद के सभी शून्यक ज्ञात कीजिए।
    View Solution
  • 9
    यदि एक शून्येतर बहुपद p(x) को एक बहुपद g(x) से भाग देने पर शेषफल 0 हो, तो p(x) और g(x) की घातों में क्या संबंध है?
    View Solution
  • 10
    यदि एक त्रिघात बहुपद के दो शून्यकों में से प्रत्येक शून्य है, तो इसके रैखिक और अचर पद नहीं हो सकते।
    View Solution