समीकरण $\frac{x}{2}+\frac{2 y}{3}$ = -1 और x - $\frac{y}{3}$ = 3 के युग्म को विलोपन विधि तथा प्रतिस्थापना विधि से हल कीजिए। कौन-सी विधि अधिक उपयुक्त है?
Exercise-3.3-1(4)
Download our app for free and get startedPlay store

$\frac{x}{2}+\frac{2 y}{3}$ = -1
x - $\frac{y}{3}$ = 3
$\frac{x}{2}+\frac{2 y}{3}$ = 1
$\Rightarrow \frac{3 x+4 y}{6}$ = -1
$\Rightarrow$ 3x + 4y = -6
x - $\frac{y}{3}$ = 3
$\Rightarrow \frac{3 x-y}{3}$ = 3
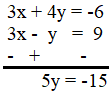
3x + 4y = -6 ...(i)
3x - y = 9 ...(ii)
विलोपन विधि द्वारा हल करने पर:
समीकरण (ii) को समीकरण (i) में से घटाने पर

$\Rightarrow$ y = $\frac{-15}{5}$
$\Rightarrow$ y = -3
y का मान समीकरण (i) में रखने पर
3x + 4y = -6
3x + 4(-3) = -6
$\Rightarrow$ 3x - 12 = -6
$\Rightarrow$ 3x = 6
$\Rightarrow$ x = 2
x = 2, y = -3
प्रतिस्थापन विधि द्वारा हल करने पर:
$\frac{x}{2}+\frac{2 y}{3}$ = -1
$\Rightarrow$ 3x + 4y = -6
x - $\frac{y}{3}$ = 3
$\Rightarrow$ 3x - y = 9
3x + 4y = -6 ...(i)
3x - y = 9 ...(ii)
समीकरण (ii) से
3x - y = 9
$\Rightarrow$ y = 3x - 9 ...(iii)
y का मान समीकरण (i) में रखने पर
3x + 4y = -6
$\Rightarrow$ 3x + 4(3x - 9) = -6
$\Rightarrow$ 3x + 12x - 36 = -6
$\Rightarrow$ 15x = -6 + 36
$\Rightarrow$ 15x = 30
$\Rightarrow$ x = 2
x का मान समीकरण (iii) में रखने पर
y = 3x - 9
= 3(2) - 9 = 6 - 9 = -3
x = 2, y = -3

art

Download our app
and get started for free

Experience the future of education. Simply download our apps or reach out to us for more information. Let's shape the future of learning together!No signup needed.*

Similar Questions

  • 1
    रोमिला एक स्टेशनरी की दुकान में गई और ₹9 में 2 पेंसिल तथा 3 रबड़ खरीदीं। उसकी सहेली सोनाली ने रोमिला के पास नई तरह की पेंसिल और रबड़ देखी और उसने भी ₹18 में उसी तरह की 4 पेंसिल और 6 रबड़ खरीदीं। इस स्थिति को बीजगणितीय तथा ग्राफीय (ज्यामितीय) रूपों में व्यक्त कीजिए।
    View Solution
  • 2
    अखिला मेले में ₹20 लेकर जाती है और वह चरखी की सवारी करना तथा हूपला खेल खेलना चाहती है। इन स्थितियों को बीजगणितीय तथा ग्राफीय (ज्यामितीय) रूपों में व्यक्त कीजिए।
    View Solution
  • 3
    समस्या में रैखिक समीकरणों के युग्म बनाइए और उनके हल (यदि उनका अस्तित्व हो) विलोपन विधि से ज्ञात कीजिए:
    यदि हम अंश में 1 जोड़ दें तथा हर में से 1 घटा दें, तो भिन्न 1 में बदल जाती है। यदि हर में 1 जोड़ दें, तो यह $\frac{1}{2}$ हो जाती है। वह भिन्न क्या है?
    View Solution
  • 4
    इस समीकरण x + y = 5 और 2x - 3y = 4 के युग्म को विलोपन विधि तथा प्रतिस्थापना विधि से हल कीजिए। कौन-सी विधि अधिक उपयुक्त है?
    View Solution
  • 5
    इस समीकरण 3x + 4y = 10 और 2x - 2y = 2 के युग्म को विलोपन विधि तथा प्रतिस्थापना विधि से हल कीजिए। कौन-सी विधि अधिक उपयुक्त है?
    View Solution
  • 6
    प्रश्नावली 3.1 के प्रश्न संख्या 1 को प्रतिस्थापन विधि से हल कीजिए।
    View Solution
  • 7
    समीकरण 3x - 5y - 4 = 0 और 9x = 2y + 7 के युग्म को विलोपन विधि तथा प्रतिस्थापना विधि से हल कीजिए। कौन-सी विधि अधिक उपयुक्त है?
    View Solution
  • 8
    ग्राफ द्वारा जाँच कीजिए कि समीकरण युग्म
    x + 3y = 6 ...(1)
    और 2x - 3y = 12 ...(2)
    संगत है। यदि ऐसा है, तो उन्हें ग्राफ द्वारा हल कीजिए।
    View Solution
  • 9
    दो रेल पटरियाँ, समीकरणों x + 2y - 4 = 0 और 2x + 4y - 12 = 0 द्वारा निरूपित की गई हैं। इस स्थिति को ज्यामितीय रूप से व्यक्त कीजिए।
    View Solution
  • 10
    चंपा एक सेल में कुछ पैंट और स्कर्ट खरीदने गई। जब उसकी सहेलियों ने पूछा कि प्रत्येक के कितने नग खरीदे, तो उसने उत्तर दिया, स्कर्ट की संख्या खरीदी गई पैंटों की संख्या की दो गुनी से दो कम है। स्कर्ट की संख्या खरीदी गई पैंटों की संख्या की चार गुनी से भी चार कम है। सहेलियों की यह जानने के लिए सहायता कीजिए कि चंपा ने कितनी पैंट और स्कर्ट खरीदीं।
    View Solution