इस समीकरण x + y = 5 और 2x - 3y = 4 के युग्म को विलोपन विधि तथा प्रतिस्थापना विधि से हल कीजिए। कौन-सी विधि अधिक उपयुक्त है?
Exercise-3.3-1(1)
Download our app for free and get startedPlay store

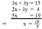
x + y = 5 ...(i)
2x - 3y = 4 ...(ii)
विलोपन विधि द्वारा हल करने पर:
समीकरण (i) और (ii) को 3 से गुणाकरने पर, हमे प्राप्त होगा

x का मान समीकरण (i) में रखने पर
x + y = 5
$\Rightarrow$ $\frac{19}{5}$ + y = 5
$\Rightarrow$ y = 5 - $\frac{19}{5}$ = $\frac{25-19}{5}=\frac{6}{5}$
x = $\frac{19}{5}$, y = $\frac{6}{5}$
प्रतिस्थापन विधि द्वारा हल करने पर:
x + y = 5 ...(i)
2x - 3y = 4 ...(ii)
समीकरण (i) से
x + y = 5
$\Rightarrow$ x = 5 - y ...(iii)
x का मान समीकरण (ii) में रखने पर
2x - 3y = 4
$\Rightarrow$ 2(5 - y) - 3y = 4
$\Rightarrow$ 10 - 2y - 3y = 4
$\Rightarrow$ 10 - 5y = 4
$\Rightarrow$ -5y = 4 - 10
$\Rightarrow$ -5y = -6
$\Rightarrow$ y = $\frac{6}{5}$
y का मान समीकरण (iii) में रखने पर
$\Rightarrow$ x = 5 - $\frac{6}{5}$
$\Rightarrow$ x = $\frac{25-6}{5}=\frac{19}{5}$
x = $\frac{19}{5}$, y = $\frac{6}{5}$

art

Download our app
and get started for free

Experience the future of education. Simply download our apps or reach out to us for more information. Let's shape the future of learning together!No signup needed.*

Similar Questions

  • 1
    निम्न समीकरण युग्म को रैखिक समीकरणों के युग्म में बदल कर हल कीजिए:
    $\frac{5}{x-1}+\frac{1}{y-2}$ = 2
    $\frac{6}{x-1}-\frac{3}{y-2}$ = 1
    View Solution
  • 2
    प्रतिस्थापना विधि द्वारा निम्न रैखिक समीकरण युग्म को हल कीजिए :
    7x - 15y = 2 ...(1)
    x + 2y = 3 ...(2)
    View Solution
  • 3
    समीकरण $\frac{x}{2}+\frac{2 y}{3}$ = -1 और x - $\frac{y}{3}$ = 3 के युग्म को विलोपन विधि तथा प्रतिस्थापना विधि से हल कीजिए। कौन-सी विधि अधिक उपयुक्त है?
    View Solution
  • 4
    समीकरणों के निम्न युग्म को हल कीजिए:
    $\frac{2}{x}+\frac{3}{y}$ = 13
    $\frac{5}{x}-\frac{4}{y}$ = -2
    View Solution
  • 5
    समस्या में रैखिक समीकरणों के युग्म बनाइए और उनके हल (यदि उनका अस्तित्व हो) विलोपन विधि से ज्ञात कीजिए:
    यदि हम अंश में 1 जोड़ दें तथा हर में से 1 घटा दें, तो भिन्न 1 में बदल जाती है। यदि हर में 1 जोड़ दें, तो यह $\frac{1}{2}$ हो जाती है। वह भिन्न क्या है?
    View Solution
  • 6
    $k$ के किस मान के लिए, निम्न रैखिक समीकरणों के युग्म के अपरिमित रूप से अनेक हल होंगे?
    $kx + 3y - (k - 3) = 0$
    $12x + ky - k = 0$
    View Solution
  • 7
    ग्राफ द्वारा जाँच कीजिए कि समीकरण युग्म
    x + 3y = 6 ...(1)
    और 2x - 3y = 12 ...(2)
    संगत है। यदि ऐसा है, तो उन्हें ग्राफ द्वारा हल कीजिए।
    View Solution
  • 8
    दो रेल पटरियाँ, समीकरणों x + 2y - 4 = 0 और 2x + 4y - 12 = 0 द्वारा निरूपित की गई हैं। इस स्थिति को ज्यामितीय रूप से व्यक्त कीजिए।
    View Solution
  • 9
    चंपा एक सेल में कुछ पैंट और स्कर्ट खरीदने गई। जब उसकी सहेलियों ने पूछा कि प्रत्येक के कितने नग खरीदे, तो उसने उत्तर दिया, स्कर्ट की संख्या खरीदी गई पैंटों की संख्या की दो गुनी से दो कम है। स्कर्ट की संख्या खरीदी गई पैंटों की संख्या की चार गुनी से भी चार कम है। सहेलियों की यह जानने के लिए सहायता कीजिए कि चंपा ने कितनी पैंट और स्कर्ट खरीदीं।
    View Solution
  • 10
    समस्या में रैखिक समीकरणों के युग्म बनाइए और उनके हल (यदि उनका अस्तित्व हो) विलोपन विधि से ज्ञात कीजिए:
    पाँच वर्ष पूर्व नूरी की आयु सोनू की आयु की तीन गुनी थी। दस वर्ष पश्चात्, नूरी की आयु सोनू की आयु की दो गुनी हो जाएगी। नूरी और सोनू की आयु कितनी है।
    View Solution