समीकरणों के युग्म को हल कीजिए:
$\frac{x}{a}+\frac{y}{b} = a + b$
$\frac{x}{a^{2}}+\frac{y}{b^{2}} = 2, a, b \neq 0$
Exercise-3.3-9(6)
Download our app for free and get startedPlay store
समीकरणों की दी गई प्रणाली को इस प्रकार लिखा जा सकता है:
$\frac{1}{a} \cdot x+\frac{1}{b} \cdot y-(a+b) = 0$
$\frac{1}{a^{2}} \cdot x+\frac{1}{b^{2}} \cdot y-2 = 0$
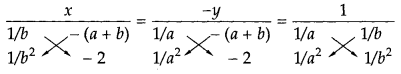
वज्र$-$गुणन से, हमारे पास है

$\Rightarrow \frac { x } { \frac { 1 } { b } \times ( - 2 ) - \frac { 1 } { b ^ { 2 } } \times - ( a + b ) } = \frac { - y } { \frac { 1 } { a } \times - 2 - \frac { 1 } { a ^ { 2 } } \times - ( a + b ) } = \frac { 1 } { \frac { 1 } { a } \times \frac { 1 } { b ^ { 2 } } - \frac { 1 } { a ^ { 2 } } \times \frac { 1 } { b } }$
$ \Rightarrow \frac { x } { - \frac { 2 } { b } + \frac { a } { b ^ { 2 } } + \frac { 1 } { b } } = \frac { - y } { - \frac { 2 } { a } + \frac { 1 } { a } + \frac { b } { a ^ { 2 } } } = \frac { 1 } { \frac { 1 } { a b ^ { 2 } } - \frac { 1 } { a ^ { 2 } b } }$
$ \Rightarrow \frac { x } { \frac { a } { b ^ { 2 } } - \frac { 1 } { b } } = \frac { - y } { - \frac { 1 } { a } + \frac { b } { a ^ { 2 } } } = \frac { 1 } { \frac { 1 } { a b ^ { 2 } } - \frac { 1 } { a ^ { 2 } b } }$
$ \Rightarrow \frac { \frac { x } { a - b } } { \frac { a - b } { b ^ { 2 } } } = \frac { y } { \frac { a - b } { a ^ { 2 } } } = \frac { 1 } { \frac { a - b } { a ^ { 2 } b ^ { 2 } } }$
$ \Rightarrow x = \frac { a - b } { b ^ { 2 } } \times \frac { 1 } { \frac { a - b } { a ^ { 2 } b ^ { 2 } } } = a ^ { 2 }$ तथा $ y = \frac { a - b } { a ^ { 2 } } \times \frac { 1 } { \frac { a - b } { a ^ { 2 } b ^ { 2 } } } = b ^ { 2 }$
अत: $x = a^2, y = b^2$ दिए गए समीकरणों के निकाय का हल है।
art

Download our app
and get started for free

Experience the future of education. Simply download our apps or reach out to us for more information. Let's shape the future of learning together!No signup needed.*

Similar Questions

  • 1
    समीकरणों के युग्म का हल कीजिए:
    x + y = 3.3,
    $\frac{0.6}{3 x-2 y}$ = -1, 3x - 2y $\neq$ 0
    View Solution
  • 2
    रेखाओं 5x - y = 5, x + 2y = 1 और 6x + y = 17 द्वारा बनने वाले त्रिभुज के शीर्ष बीजीय विधि से निर्धारित कीजिए।
    View Solution
  • 3
    दो वर्ष पहले, सलीम की आयु अपनी पुत्री की आयु की तिगुनी थी तथा छ: वर्ष बाद उसकी आयु पुत्री की आयु के दुगुने से चार वर्ष अधिक होगी। उनकी वर्तमान आयु क्या है?
    View Solution
  • 4
    आलेखीय विधि से ज्ञात कीजिए कि $x – 2y = 6$  तथा  $3x – 6y = 0$ समीकरण$-$युग्म संगत हैं या नहीं। यदि संगत हैं, तो इन्हें हल कीजिए।
    View Solution
  • 5
    समीकरण$-$युग्म में $p$ का मान ज्ञात कीजिए: $-3x + 5y = 7$ और $2px – 3y = 1,$
    यदि इन समीकरणों द्वारा निरूपित रेखाएँ एक अद्वितीय बिंदु पर प्रतिच्छेद करती हैं।
    View Solution
  • 6
    दो सीधे पथ समीकरणों $x - 3y = 2$ और $-2x + 6y = 5$ द्वारा निरूपित हैं। जाँच कीजिए कि ये पथ परस्पर काटते हैं या नहीं।
    View Solution
  • 7
    समीकरण$-$युग्म में $p$ का मान ज्ञात कीजिए: $3x – y – 5 = 0$ और $6x – 2y – p = 0$
    यदि इन समीकरणों द्वारा निरूपित रेखाएँ समांतर हैं।
    View Solution
  • 8
    रेखाओं x = -2 और y = 3 के आलेख खींचिए। इन रेखाओं, x-अक्ष और y-अक्ष द्वारा बनी आकृति के शीर्ष लिखिए। इस आकृति का क्षेत्रफल भी ज्ञात कीजिए।
    View Solution
  • 9
    दो पाइपों द्वारा एक स्वीमिंग पूल को भरने में 12 घंटे लगते हैं। यदि इनमें से बड़े व्यास वाले पाइप का प्रयोग 4 घंटे करें और छोटे व्यास वाले पाइप का प्रयोग 9 घंटे करें, तो स्वीमिंग पूल केवल आधा ही भरा जा सकता है। प्रत्येक पाइप पृथक-पृथक रूप से स्वीमिंग पूल को कितने समय में भर पाएगा?
    View Solution
  • 10
    समीकरण$-$युग्म में $p$ का मान ज्ञात कीजिए: $2x + 3y – 5 = 0$ और $px – 6y – 8 = 0,$
    यदि समीकरण$-$युग्म का एक अद्वितीय हल है।
    View Solution