त्रिघात बहुपद $6 x^{3}+\sqrt{2} x^{2}-10 x-4 \sqrt{2}$ का एक शून्यक $\sqrt{2}$ दिया है। इसके अन्य दो शून्यक ज्ञात कीजिए।
Exercise-2.4-3
Download our app for free and get startedPlay store

मान लीजिए f(x) = $6 x^{3}+\sqrt{2} x^{2}-10 x-4 \sqrt{2}$
अगर $\sqrt{2}$ f(x) का शून्य है, तो $(x-\sqrt{2})$f(x) का गुणनखंड होगा। तो, शेष प्रमेय द्वारा जब f(x) को $(x-\sqrt{2})$से विभाजित किया जाता है , भागफल द्विघात निकलता है।
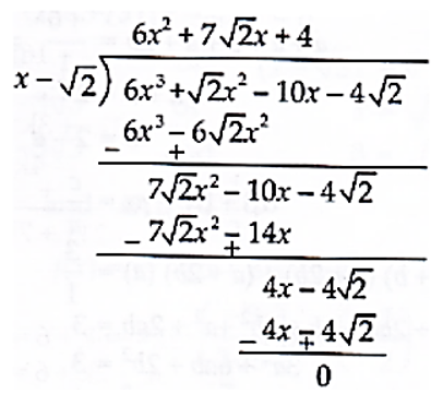
अब हम बांटते हैं $6 x^{3}+\sqrt{2} x^{2}-10 x-4 \sqrt{2}$  द्वारा $(x-\sqrt{2})$

$\therefore$ f(x) = $(x-\sqrt{2})\left(6 x^{2}+7 \sqrt{2} x+4\right)$ (यूक्लिड के विभाजन एल्गोरिथ्म द्वारा)
= $(x-\sqrt{2})\left(6 x^{2}+4 \sqrt{2} x+3 \sqrt{2} x+4\right)$ (गुणन विधि द्वारा)
f(x) के शून्यकों के लिए f(x) = 0 रखें
$\therefore$ $(x-\sqrt{2})\left(6 x^{2}+4 \sqrt{2} x+3 \sqrt{2} x+4\right)$ = 0
$\Rightarrow$ $(x-\sqrt{2})$ $[2 x(3 x+2 \sqrt{2})+\sqrt{2}(3 x+2 \sqrt{2})]$ = 0
$\Rightarrow$ $(x-\sqrt{2})$ $(3 x+2 \sqrt{2})(2 x+\sqrt{2})$ = 0
$\Rightarrow$ $x-\sqrt{2}$ = 0 या $3 x+2 \sqrt{2}$ = 0 या $2 x+\sqrt{2}$ = 0
$\Rightarrow$ x = $\sqrt{2}$ या x = $\frac{-2 \sqrt{2}}{3}$ या x = $\frac{-\sqrt{2}}{2}$
तो, अन्य दो जड़ें हैं $\frac{-2 \sqrt{2}}{3}$ तथा $\frac{-\sqrt{2}}{2}$

art

Download our app
and get started for free

Experience the future of education. Simply download our apps or reach out to us for more information. Let's shape the future of learning together!No signup needed.*

Similar Questions

  • 1
    यदि बहुपद p(x) को बहुपद g(x) से भाग देने पर भागफल शून्य हो, तो p(x) और g(x) की घातों में क्या संबंध है?
    View Solution
  • 2
    यदि एक त्रिघात बहुपद $x^3 + ax^2 - bx + c$ के तीनों शून्यक धनात्मक हैं, तो $a, b$ और $c$ में से कम से कम एक अवश्य ही ऋणेतर होगा।
    View Solution
  • 3
    $k$ का केवल वह मान जिसके लिए द्विघात बहुपद $kx^2 + x + k$ के शून्यक बराबर हैं शून्यक $\frac{1}{2}$ है।
    View Solution
  • 4
    दिया है कि त्रिघात बहुपद $x^3 - 6x^2 + 3x + 10$ के शून्यक $a, a + b$ और $a + 2b$ के रूप के हैं, जहाँ $a$ और$ b,$ कोई वास्तविक संख्याएँ हैं। $a$ और $b$ के मान तथा साथ ही दिए हुए बहुपद के शून्यक ज्ञात कीजिए।
    View Solution
  • 5
    यदि एक त्रिघात बहुपद के सभी शून्यक ऋणात्मक हैं, तो इस बहुपद के सभी गुणांक और अचर पद एक ही चिह्न के होते हैं।
    View Solution
  • 6
    यदि एक बहुपद का आलेख x-अक्ष को केवल एक ही बिंदु पर प्रतिच्छेद करे, तो यह एक द्विघात बहुपद नहीं हो सकता।
    View Solution
  • 7
    क्या किसी विषम पूर्णांक $k > 1$ के लिए, द्विघात बहुपद $x^2 + kx + k$ के बराबर शून्यक हो सकते हैं?
    View Solution
  • 8
    $ax^2 + bx + c$ को $px^3 + qx^2 + rx + s, p \neq 0$ से भाग देने पर भागफल और शेषफल क्या होंगे?
    View Solution
  • 9
    $k$ का ऐसा मान ज्ञात कीजिए कि $x^2 + 2x + k$ बहुपद $2x^4 + x^3 - 14x^2 + 5x + 6$ का एक गुणनखंड हो जाए। इन दोनों बहुपदों के सभी शून्यक भी ज्ञात कीजिए।
    View Solution
  • 10
    क्या $x^6 + 2x^3 + x - 1$ को $x$ में घात $5$ के एक बहुपद से भाग देने पर भागफल $x^2 - 1$ हो सकता है औचित्य दीजिए।
    View Solution